欢迎访问 元氏县人民政府! 今天是
设为首页
|
联系我们
|
无障碍
|
进入适老化
当前位置:
首页
> >
专题专栏
> >
行政执法公示栏
> >
元氏县住房和城乡建设局(综合执法局)
> >
事后公开
> >
行政处罚
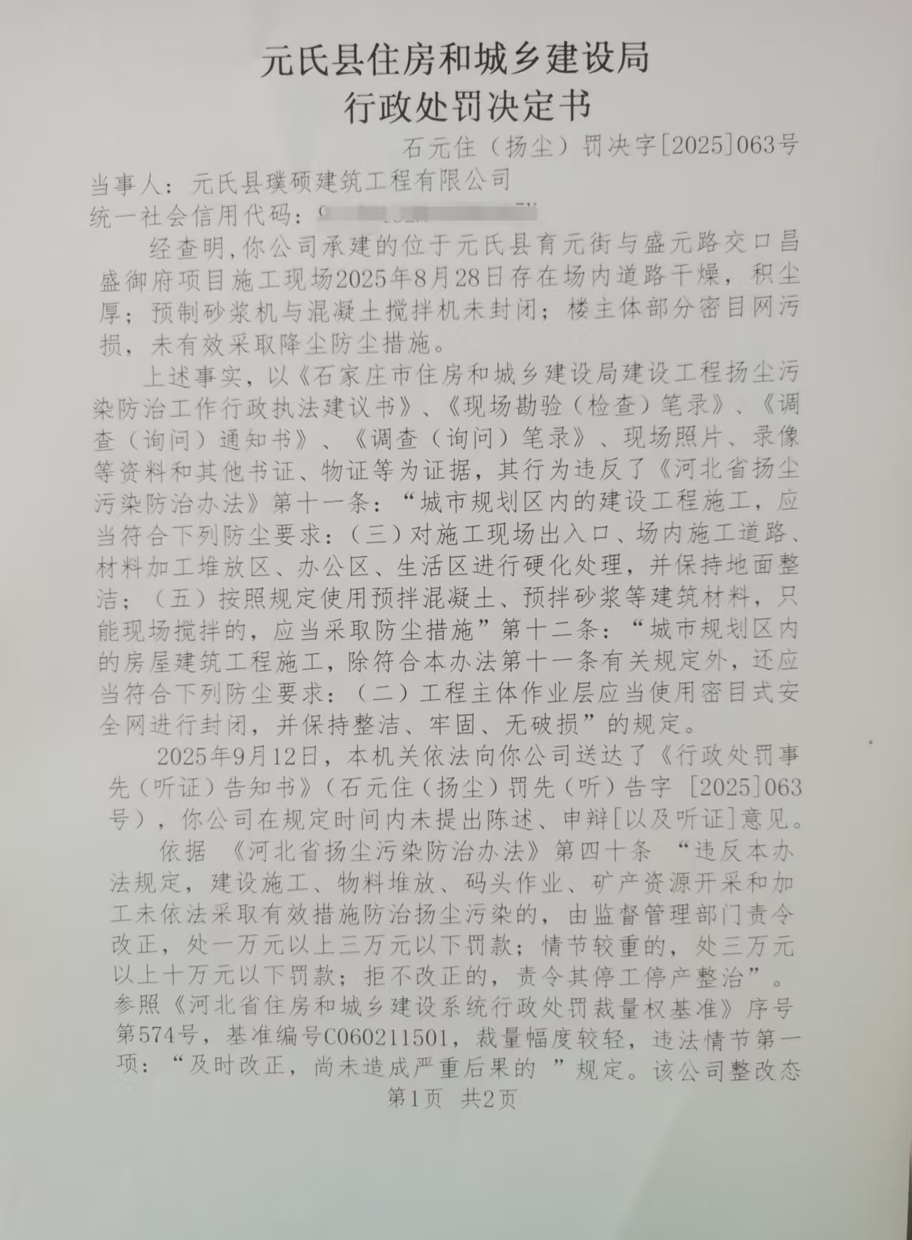
元氏县住建局行政处罚决定书石元住(扬尘)罚决字〔2025〕063号
发布时间:2025-09-30
【字体:
大
中
小
】
打印